Business Problem
A financial services organisation required better visibility into customer value tiers and purchasing behaviour to support targeted marketing, improve retention, and optimise revenue growth.
Objectives
- Identify distinct customer segments based on purchasing patterns
- Analyse revenue contribution by segment
- Assess order frequency and spending behaviour
- Support data-driven targeting strategies
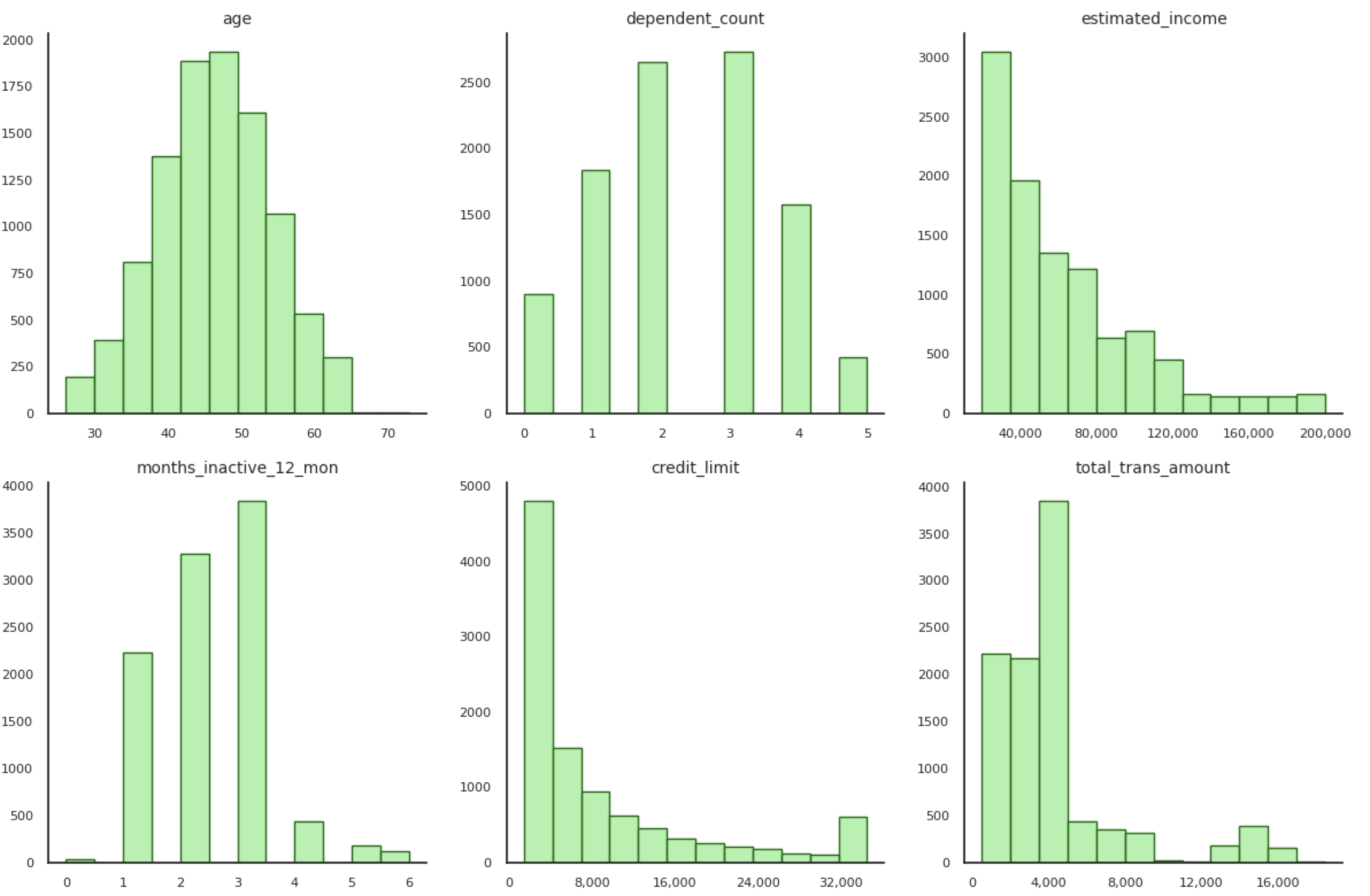
Analytical Approach
- Data cleaning and feature engineering in Python
- Standardisation of key behavioural metrics
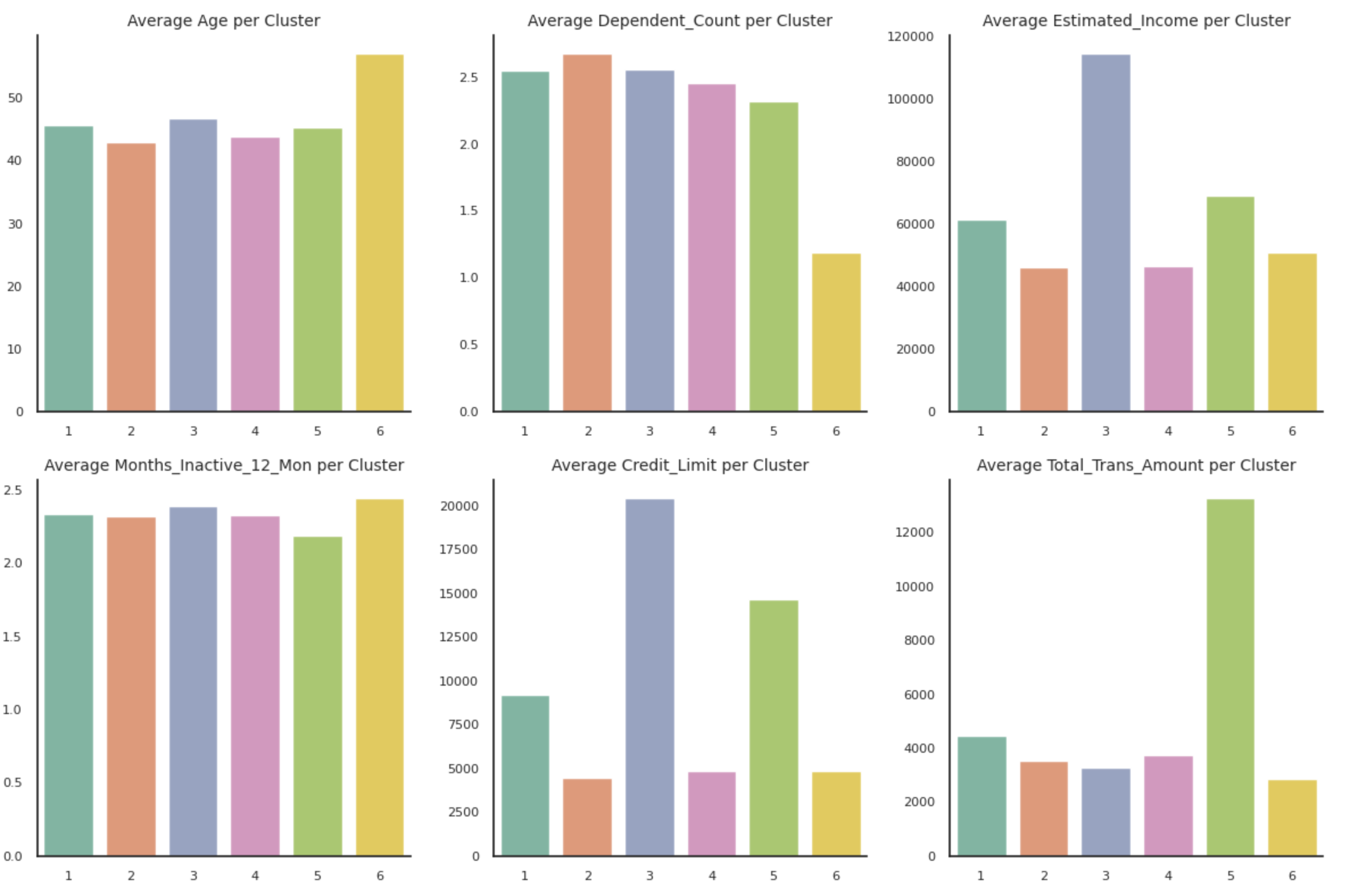
- K-Means clustering to identify distinct customer groups
- Segment profiling based on revenue and purchasing behaviour
Key Insights
- A high-value segment contributed a disproportionate share of total transaction value
- A price-sensitive segment demonstrated high order frequency but lower margin contribution
- Mid-tier customers presented upsell potential
Commercial Implications
- Prioritise retention strategies for high-value customers
- Adjust discounting strategies for price-sensitive segments
- Develop targeted campaigns for mid-tier growth opportunities
Python | Pandas | Scikit-Learn | Behavioural Analytics | Clustering


